线性代数基础:求逆矩阵

8160abee7ecf44fb4b8dd29d12bfd39b.jpg

计算机图形学中经常用到逆矩阵的概念,作为和矩阵相乘的结果,今天在写一套插件用到了,特别总结一下。
求逆矩阵有多种方法:伴随矩阵法、初等变换法、定义法。我只介绍前两种,定义法没有过多涉及,见谅。

一,伴随矩阵法

伴随矩阵求逆矩阵的公式:

1217a12de5a0d9266366afbf4f270f65.png

A*为伴随矩阵,|A|为A的行列式。若|A| = 0,则矩阵不可逆;否则可逆。

  • 1.首先判断矩阵A是否可逆;

  • 2.求每个元素的代数余子式,伴随矩阵就是代数余子式的转置形式。

目前接触到的矩阵框架(webgl)都是使用此方法,虽然计算量比较大,但是有公式可循,还好。
例如,有矩阵A


1217a12de5a0d9266366afbf4f270f65.png

伴随矩阵为:


1217a12de5a0d9266366afbf4f270f65.png

以下过程是在编辑器中写的,截图了:


8160abee7ecf44fb4b8dd29d12bfd39b.jpg


当矩阵是大于等于二阶时,主对角元素是将原矩阵该元素所在行列去掉再求行列式,当矩阵的阶数等于一阶时,伴随矩阵为一阶单位方阵。二阶矩阵的求法口诀:主对角线元素互换,副对角线元素加负号。

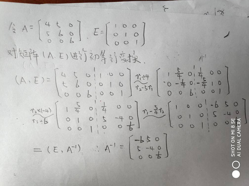
二,初等行变换

若A是一个n阶可逆矩阵,则有
这一过程中经历了一系列初等行变换,并且我们下结论说:,中的 A−1 就是A的逆矩阵!按逻辑,你还不能确定这个就是它的逆矩阵,你现在还没有理由确定,所以我们暂定这个


1217a12de5a0d9266366afbf4f270f65.png

用初等行变换求逆矩阵的方法经常用到,就是就是对矩阵(A,E)进行初等行变换,使其变成(E,B),则B就是A的逆矩阵A(–1)。求解的原理是这样的:对矩阵A进行一次初等行变换相当于对矩阵A左乘一个初等矩阵Pi,那么对A进行一系列的行变换得到单位矩阵E,相当于左乘了一系列的初等矩阵P1、P2、...、Pi后得到E。把这些可逆的初等矩阵乘在一起,就是P=P1*P2...*Pi,且PA=E,那么P就是A的逆矩阵。所以当(A E)中左边的A经过初等行变换得到E时,右边的单位矩阵E也就经过相应的行变换,相当于左乘矩阵PE=P=A(–1)。


b0b2e2e18fbbb7a44ed126373386c588.jpg